










PVC-U Grill Duct
产品介绍Product introduction:
PVC-U栅格管具有多个孔位,可以直接穿缆,同时可以预留管孔,提高通信孔位利用率。连接采用套接结构,勿需任何工具即可完成管子间的连接,便于施工和维护,管材与管接套采用特制的胶水粘接,连接密封更好,不易渗水。适用于地下通信电缆和光缆的管道系统。
PVC-U Grill Duct has multiple holes, which can be directly pulled through the cable, and the pipe hole can be reserved to improve the utilization rate of the communication hole. The connection adopts the socket structure. Do not need any tool to complete the connection of the pipes, convenient to construct and maintain. The pipe and pipe joint are connected with special glue, which is better sealed and not easy to seep. It is suitable for underground communication cable and pipe system of cable.

产品特点Product features:
1、抗压性强、耐老化
1、Strong compression resistance and aging resistance
采用更高成本的环保配方一次挤出成形强度高,管内栅格状形成物理学钢性结构,比普通塑料管材强度高,正常情况无须做基础或包封,能代替钢管安全穿越马路,阴燃(离火即熄性好),抗腐蚀,耐老化,使用寿命长达50年以上。
One-off extrusion moulding, the forming strength is high. The inner grids form the rigid structure of physics, which is higher strength than that of ordinary plastic pipes. Under normal conditions, no need to do basic or envelop, and it can replace the steel pipe crossing the road safely. Smouldering (good extinguishing of fire), corrosion resistance, aging resistance, service life is over 50 years.
2、规格多样
2、 Specification variety
产品规格有单孔、2孔、3孔、4孔、5孔、6孔、9孔等,可放置不同口径的光电缆,与原有水泥管、波纹管等管道可以自由过渡、组合,并有相应的配件如接头、堵头、勒带、专用胶水、修补片等便于施工操作。
The product specifications include single hole, 2 holes, 3 holes, 4 holes, 5 holes, 6 holes and 9 holes. Different calibers of optical cable can be placed. The pipe can freely transit and combine with original cement pipe, bellows and other pipes, and there are accessories such as joints, blocks, straps, special glue and patches for easy construction.
3、结构创新,节省管位
3、Structure innovation and saving position
外形结构为弧角方形,排布整齐方便。占用管位小,仅为水泥管位的10%,开挖量小,有效节省城市地下管位资源,对道路交通及市政影响少。
The outer structure is arc-angle square with its arrangement neat and convenient. Occupying a small position for only 10% of the cement pipe, small amount of excavation, it can effectively save urban underground pipe resources, and less impact on road traffic and municipal services.
4、韧性好,弯曲自由
4、Good toughness and free bending
一段6米长管材,弯曲弦高可达1.2米以上,特殊变向可配接专用弯头。施工中碰到弯道或交越其它管线时能轻松避开。
A 6-meter long pipe can reach more than 1.2m with a curved string, a special turn to be fitted with a special elbow. It is easy to avoid the curve or crossover other pipelines during construction.
5、利用率高,综合造价低
5、High utilization rate and low comprehensive cost
内格结构为方形,集护套与子管为一体,内孔有效空间大,截断后可连接使用,省材耗,工程投入少。比使用PE/波纹管节省造价近20%,更可以替代钢管,节省50%左右的投资。
The inner structure is square, and the protective set is integrated with the sub-pipe. The inner hole has a large available space, which can be connected to use after truncation, saving material consumption and engineering investment. With less than 20% of the cost of using PE/bellows, the pipe can be used to replace the steel pipe and save about 50% of the investment.
6、施工便捷,省工省时
6、Construction convenient, saving labor and time
护套与子管成一体,无需二次穿子管一次铺设即可穿缆,避免了二次穿子管变形扭结;排序混乱,重复施工的麻烦;搬运方便;内壁光滑,穿线省力;接口有装配标记,排接有序;抗压性强,埋深仅要求0.3-0.5米,无需做基础和水泥包封,先回填细沙土20公分再回填土即可通车,过马路无须做基础和水泥包封。使用PE/波纹管过马路须另接钢管(钢管用量大,造价高,须焊接,施工笨重,易腐烂,使用寿命短),水泥浇灌需保养期,二次穿子管才能穿光缆,使用栅格管施工比使用PE/波纹管缩短工期近1/2,比使用水泥、钢管缩短工期近3/5。
The protective set integrating with the sub-pipe, there is no need to pass through sub-pipe twice for cable. With a single laying, you can pass through the cable to avoid the deformation of the secondary pipe. Sorting chaos, repetitive construction problems; Easy moving; Smooth inner wall, threading labor-saving; Interface has the assembly marks, the arrangement in good order; Strong compression resistance, the depth is only 0.3 to 0.5 meters. No need to do basic and cement envelop. First backfill the sand 20 cm and then fill the soil to open to traffic, and no need to do the basic and cement envelop across the street. Using PE/bellows to cross the road should be connected with steel pipe (Large amount of steel pipe, high cost, welding, heavy construction, perishable, short service life), and cement watering needs maintenance period, only passing through sub-pipe twice for cable. Using the grid pipe is shorter than using PE/bellows for nearly a half of the construction time, than using cement and steel pipe for nearly 3/5.


产品性能Product performance:
序号 Sequence Number | 项目 Items | 技术要求 Technical Requirements |
1 | 维卡软化温度℃Vicat softening temperature ℃ | ≥75 |
2 | 落锤冲击(0℃,D90型锤1Kg 1m冲击,9/10不破裂)Drop weight impact (0℃, D90 hammer impacts with 5Kg and 1m, 9/10 does not break ) | 9/10 |
3 | 纵向回缩率(%)Longitudinal retraction rate (%) | ≤5 |
4 | 静摩擦系数Static friction coefficient | ≤0.35 |
5 | 拉伸强度(Mpa)Tensile strength (MPa) | ≥30 |
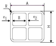
规格型号Specification model:
型号 Model | 外形尺寸(A×H) Overall Dimension (A×H) | 外壁厚(e1) Face Thickness (e1) | 内壁厚(e2) Inner Wall Thickness (e2) | 内孔(Φ1、ΦB) Inner Bore (Φ1,ΦB) |
Four holes | 62×62 | 2.2±0.2 | 1.8±0.2 | 28±0.5 |
One holes | 92×92 | 3.2±0.3 | - | 80±0.5 |
Four holes | 92×92 | 2.75±0.2 | 2.2±0.2 | 42±0.5 |
Five holes | 92×75 | 2.25±0.2 | 1.8±0.2 | 28±0.5,42±0.5 |
Six holes | 92×62 | 2.2±0.2 | 1.8±0.2 | 28±0.5 |
Nine holes | 92×92 | 2.2±0.2 | 1.8±0.2 | 28±0.5 |
Six holes | 107×72 | 2.25±0.2 | 1.9±0.2 | 33±0.5 |
One holes | 109×109 | 4.6±0.2 | - | 96±0.5 |
Four holes | 109×109 | 3.25±0.2 | 2.6±0.2 | 48±0.5 |
Nine holes | 109×109 | 2.5±0.2 | 1.9±0.2 | 31±0.5 |
注:其它规格可按用户要求定制 Note: Other specifications can be customized according to user's requirements. | ||||